Different kinds of beta decay 1) Negative beta decay process: When there is excess number of neutrons in the nucleus, the neutron is converted into proton with the emission of electron and antineutrino particle and this process is called negative beta decay process. Negative beta decay. 2) Positive beta decay process: When there is excess number of protons in the nucleus, the proton is converted into neutron with the emission of positron and neutrino particle and this process is called positive beta decay process. Positive beta decay. 3) Electron Capture: When there is excess number of protons in the nucleus, sometimes the nucleus will absorbed the nearby electrons in the nearest electron orbital emitting neutron and a neutrino and this process is called electron capture. Electron capture. 4) Inverse beta decay: Inverse beta decay. Thus such kind of reaction in which neutrinos are absorbed to create some sort of beta decay is called inverse beta decay. Inverse beta decay confirm t...
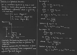
Blackbody radiation,Plank's radiation law, photoelectric effect,Compton effect,pair production,De broglie's matter wave,The concept of wave packets and group velocities, Heisenberg's uncertainty principle, application of uncertainty principle,Schrodinger wave equation, linearity and superposition, expectation values, operators,particle in box,finite potential well, potential barrier, tunnel effect, space quantization,jj coupling,ls coupling,Zeeman effect,nuclear physics and many more


Comments
Post a Comment